新冠肺炎疫情攪亂了一池春水,諸多行業在2020年上半年遭遇了「停工停產」的困擾。在7月3-5日舉辦的上海慕尼黑電子展期間,OFweek電子工程網在與多家電子廠商溝通交流后發現,電子科技產業所受影響并沒有想象中嚴重,甚至不少企業在疫情期間業績不降反升。
總體來看,新冠肺炎疫情對于電子產業來說也僅僅是一個短暫的「暫停鍵」。如今疫情受控、產業復蘇,社會發展的腳步也進一步提速。
疫情之下的電子產業,聽聽企業們怎么說
從旅游出行、餐飲零售、文化娛樂等行業營收大幅縮水,到工業、制造業、建筑業等行業復工復產受限,再到網絡電商、遠程辦公、在線教育、無接觸配送等新生活模式的崛起,新冠疫情的出現給各個行業帶來了不同的挑戰與機遇。
由于疫情的侵襲,原本定在今年3月召開的慕展推遲到了7月,不過參會企業和參展觀眾人數并不算少。而當下國內疫情受控,反倒是國外的情況不容樂觀,因此這次來到展會的基本上是國內的電子廠商。
OFweek電子工程網在與艾德克斯交流后得知,疫情初期對企業銷售有一定影響,最主要是來自應用端客戶需求的下降,比如汽車制造產業,由于線下實體零售店無法開業市場需求大幅降低,即使有前期的訂單支撐,也受困于大量生產線的工人難以返工返崗,生產線無法快速恢復正常運轉;另外一種,智能手機組裝廠商同樣面臨的難題是,企業必須采取措施確保病毒不會在工人群體中蔓延。比如蘋果最大的代工廠富士康以及國內眾多的手機廠商,都在第一季度里停工停產,從而降低了市場出貨量。
(圖片源自OFweek電子工程網)
其次,疫情防控期間,很多地方都采取了較為極端的措施限制交通運輸,受疫情影響較重的地區甚至采取了封城等措施加強防控。產品需求側的降低的同時,多地的交通運力受到較大影響,部分零組件運輸時間延長,也導致了供應鏈「脫臼」風險。
眾所周知,新冠病毒的傳播第一依賴人類為寄主,而且主要通過人人之間的經呼吸道飛沫和密切接觸傳播。因此,限制人口流動和交通運輸能最大程度的避免更多人受感染。事實證明,我國采取的管控措施也成為全球最有效的切斷疫情傳播途徑的手段。
也有企業表示,從整個上半年來看,疫情所造成的影響微乎其微。倍捷連接器告訴OFweek電子工程網,面對全球疫情,歐美原廠供應鏈出現延遲交貨的情況,而公司儲備的大量零部件庫存大大彌補了在原廠開工不足的情況下的供貨需求。此外,公司高度自動化的組裝線,也避免了因為人工勞動力不足的缺陷,因此疫情對工廠影響極小。
MiR機器人表示,許多汽車制造的客戶都因為疫情影響了生產線從而影響了公司的項目進度。但新的業務需求卻增加了,比如依賴自主移動機器人背負紫外線消毒燈進行病毒消殺操作,而這些場景包括醫院、機場、火車站、學校等等,應用范圍非常廣泛。今年開年爆發的疫情影響導致國內很多機器人企業陷入低迷,但是也讓更多倉儲物流、智慧醫療這方面的市場變得更加活躍。
同樣在疫情下興起的還有醫療電子產業,安森美半導體告訴OFweek電子工程網,在整個疫情監測防控、病例追蹤、數據采集方面,機器視覺技術的存在發揮了重要作用。比如助力口罩等防護物資的自動化生產、智能物流分揀、人臉篩查識別、無人機消毒等,機器視覺結合人工智能(AI)使口罩生產做到了高精確定位,切割,自動檢測,大大提高了生產效率;而健康碼、AI醫生、送藥送餐機器人等各種高效管理和便民服務,使無接觸作業模式更有效率更可靠。
2月21日~7月22日全國疫情新增趨勢(數據源自百度疫情實時大數據報告)
總體來看,疫情的出現是不幸的,但疫情出現的時間節點在春節前后,算是不幸中的大幸。
從往年情況來看,電子產業在春節前后一個月的生產活動原本就比較冷淡,此次延期復工復產等于是變相的過了個時間更長的春節,2020年一季度成為生產擾動最嚴重的時期,隨著疫情受控以及工商企業全面復工,如今電子產業發展也迎來了新一波增長態勢。
數據解讀:疫情影響幾何
為了進一步了解2020年上半年以來疫情對電子產業的影響,OFweek電子工程網查閱資料得知,工信部統計數據顯示:1-5月,規模以上電子信息制造業實現營業收入同比增長1.3%,利潤總額同比增長34.7%(去年同期為下降13%)。營業收入利潤率為4.25%,營業成本同比增長0.9%,5月末,全行業應收賬款同比增長12.3%。
2020年1-5月電子信息制造業營業收入、利潤增速變動情況(%)-數據源自工信部
從主要行業情況來看:
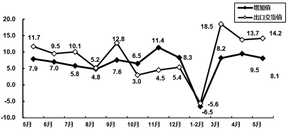
1-5月,通信設備制造業營業收入同比下降0.5%,利潤同比增長70.3%。
通信設備行業增加值和出口交貨值分月增速(%)-數據源自工信部
1-5月,電子元件及電子專用材料制造業營業收入同比增長1.6%,利潤同比增長33.6%。
電子元件行業增加值和出口交貨值分月增速(%)-數據源自工信部
1-5月,電子器件制造業營業收入同比增長3.0%,利潤同比增長7.8%。
電子器件行業增加值和出口交貨值分月增速(%)-數據源自工信部
1-5月,計算機制造業營業收入同比增長6.0%,利潤同比增長41.6%。
計算機制造業增加值和出口交貨值分月增速(%)-數據源自工信部
如上文中提到的一般,2020年1-2月成為了電子產業發展V型曲線的最低點,可以看到在3月以后,產業發展急速提升。從細分領域來看,1-5月除了通信設備制造業營收略有下降以外,其他行業在疫情困境下依然保持了正向增長。
此外,近期A股電子產業鏈龍頭企業相繼披露年中報業績預告,OFweek電子工程網發現,受疫情影響,光學光電子行業部分企業受到沖擊。但隨著消費電子需求復蘇,聞泰科技、立訊精密等產業鏈公司中報業績預計大幅上升,大立科技、高德紅外等企業也因為醫療科技產品市場的爆發,中報業績大增。
禍福相依?疫情之后的新機會在哪
科學技術是第一生產力,疫情過后各種新經濟模式開始加速蓬勃發展,這也算是是因禍得福。
就當前全球疫情情況來看,國內電子產業鏈原本更多依賴于歐美日韓市場進口,由于跨國物流受限,因此將目光轉移到國內企業身上,開始尋求「自給自足」。對于原本技術能力較為薄弱的國內電子產業來說,這無疑是一次挑戰,更是一次不可多得機會。
其次,社會對于醫療科技的重視程度會越來越高,OFweek電子工程網發現,相比于治療,國內電子廠商更多的將目光放在了疫情預防、管控、檢測等方向上。比如生活場景中的紅外測溫,醫院的病毒消殺機器人,醫院無人物流配送等。
當然,除了醫療科技產業發展以外,越來越多地方開始未雨綢繆,加快當地醫療基礎設施的建設,提升醫療水平,這也給傳統醫療電子產業帶來了更多發展機遇。















