1895 年 X 射線的發現標志著現代物理學的誕生, X 射線發現后,包括倫琴在內的很多科學家都興趣盎然 地投身于 X 射線本質的研究。X 射線的發現及其研究, 為物理、化學、生物學、醫學、天文學等學科的發展提供了革命性的手段和廣闊的前景,也為相關學科造就了數十名諾貝爾獎獲得者。尤其在物理學領域,物理學家們對于 X 射線的研究推動了物理學自身的發展。本文回顧 X 射線的發現,以及 X 射線晶體衍射現象和 X 射線晶體學的研究,以紀念它具有特殊的重要意義。
X 射線的發現
X 射線的發現源于陰極射線的研究。19 世紀末, 許多科學家都在研究陰極射線,1891 年,德國物理學 家赫茲 (H. Hertz,1857~1894) 發現陰極射線可穿透放 電管內的金屬箔片,1893 年,赫茲的學生勒納德 (P. Lenard,1862~1947) 繼續研究,試圖將陰極射線引出 放電管外,以便于研究射線的性質,因此他將放電管壁上正對陰極的地方制作一個鋁制的小窗口。他發現, 陰極射線在大氣中的射程只有幾厘米。而倫琴相信,一定還有一些問題需要解決,并于 1895 年 10 月開始研究陰極射線。
在開始一個新的課題前,倫琴總要先重復別人的 工作。11 月 8 日晚,倫琴為了避免環境光的影響, 他用黑紙把放電管包嚴,在完全遮光的暗室內進行實 驗。他用一張涂有氰亞鉑酸鋇的紙板作為熒光屏,他利用比勒納德更高的電壓和真空度,看看陰極射線是 否能射入空氣更遠些。當放電管加上大電壓時,他發 現,在黑暗中距離放電管約 1 米處的熒光屏發出微弱 的閃光。斷開電源,閃光消逝;再次加上電壓,閃光重現;他把紙屏移至兩米多遠或把紙屏翻過來仍有熒 光出現。
射線可透過鋁制窗口達一米多遠的熒光屏產生熒光,實際上陰極射線打在鋁制的小窗口出來的就是 X 射線,有人將此射線稱為“勒納德射線”,但是勒納德并沒有深入研究,由此錯過了 X 射線的發現。倫琴繼續陰極射線的研究,才有了新的發現。
倫琴意識到,新的射線不應是陰極射線,因為陰極射線是不能透過黑紙板,而且在空氣中的射程只有 幾厘米。對此,他廢寢忘食地不斷重復,最后發現, 新的射線可以直線傳播,遇到障礙物既不反射,也不折射,在外界磁場下也不偏轉;射線具有非常強的穿透本領,能透過上千頁的書,甚至幾毫米厚的鋁板, 但不能透過幾毫米厚的鉛板。他還發現,這種射線能 透過手掌而在熒光屏上顯現出手指骨的輪廓,于是 12 月 22 日,他用這種射線給他夫人的手拍了一張照片 ( 如圖 2 所示 ),其指骨清晰,甚至結婚戒指也清晰顯 露出來。這就是倫琴公開的第一張 X 射線照片!據說, 他的妻子看到這張照片時嚇了一跳,她稱該射線為“死 亡的征兆”。雖然話有些夸張,但倫琴卻因 X 射線的發現獲得了 1901 年諾貝爾物理學獎。這是第一個獲得諾貝爾物理學獎的科學家。
圖2 第一張X 射線照片——倫琴夫人手指X 射線照片
1895 年 12 月 28 日他發表了關于新射線的論文。 他稱這種本質尚不清楚的新射線為 X 射線。1896 年 1 月 5 日,維也納《新聞報》報道了倫琴發現 X 射線的 消息,并引起了轟動。1 月 23 日,倫琴在維爾茨堡大學物理研究所作了關于 X 射線的第一次報告。他還邀 請維爾茨堡大學解剖學教授克利克爾,用 X 射線拍攝 了克利克爾一只手的照片。克利克爾教授帶頭祝賀, 當即建議把這種射線命名為倫琴射線。
X 射線本質的探索
X 射線是高速運動的電子與物體碰撞時產生的一種電磁波。倫琴發現的新射線,因為并不清楚它的 性質,在當時科學界引起極大的爭論,且對新射線本質的認識主要分為兩種看法:一些人認為,X 射線是一些帶電粒子,其主要支持者是英國物理學家布拉格 (W. Bragg)( 見圖 3);另一些人認為,X 射線是具有 偏振性的橫波,其主要支持者是英國物理學家巴克拉 (C. Barkla)( 見圖 4)。這場爭論并未得到明確的結論,但還是在科學界產生了一定的影響。
首先討論 X 射線的粒子性。布拉格根據 γ 射線能使原子電離,在電場和磁場中不受偏轉以及穿透力極強等事實,主張 γ 射線是由中性偶——電子和正電荷 組成。布拉格認為,X 射線也一樣,并由此解釋了當 時已知的各種 X 射線現象。
然后討論 X 射線的波動性。1906 年,英國物理學家巴克拉利用 X 射線經兩個散射物的二次輻射強度的分布,證明 X 射線具有偏振性。圖 5 給出了檢驗 X 射線偏振特性的實驗示意圖,當 X 射線以 45° 的入射 角照射到第一散射體上,將會產生沿 x 方向出射的二次輻射 X 射線,該二次輻射的 X 射線再照射到第二 散射體上時分別沿不同方向觀察二次輻射的 X 射線強 度,巴克拉發現,在 z 方向上觀察到 X 射線最強,而 在 y 方向上觀察不到 X 射線,這就證明 X 射線具有偏振性。也就是說,X 射線是電磁波,為橫波,即振動方向與傳播方向垂直。根據 X 射線的偏振性,說明 X 射線和普通光是類似的。巴克拉關于 X 射線的偏振實驗和波動性觀點可以說是后來勞厄發現 X 射線衍射的前奏。
要想確定 X 射線是否具有波動性,人們自然想 到利用光學中的衍射光柵來觀察 X 射線的衍射現象。 可要想觀察到 X 射線的衍射,則衍射光柵的光柵常數 ( 即光柵上每個透光和不透光周期單元的長度 ) 則需與 X 射線的波長在同樣的數量級。當時最密的人工衍射光柵,僅適用于一般可見光線。由 X 射線的穿透力得 知,若 X 射線是波,估計其波長要短得多——約為可 見光波長的千分之一。從技術上講,制作如此精細的光柵是完全不可能的。
大約在 1912 年 1 月底,德國物理學家索末菲 (A. Sommerfeld,1868~1951) 的一位學生厄瓦爾德 (P. Ewald) 在準備博士論文過程中,為研究光波在晶格中 的行為而尋找數學處理方法時遇到了一些困難,為此 他向勞厄 (M. Laue)( 見圖 6) 請教。在他們的探討中勞 厄了解到晶體中原子間的距離很小,與可見光的波長 相比大概只有波長的 1/500 或 1/1000。勞厄想到,雖然人工做不出這樣細的光柵,但自然界中的晶體也許能行。晶體是一種幾何形狀整齊的固體,而在固體平 面之間有特定的角度,并且有特定的對稱性。這種規律是構成晶體結構的原子有次序地排列的結果。一層原子和另一層原子之間的距離大約是 X 射線波長的大小。如果這樣,晶體應能使 X 射線衍射。勞厄醞釀出一個實驗:把晶體當作一個三維光柵,讓一束 X 射 線穿過,由于空間光柵的間距與 X 射線波長的估計值在數量級上近似,可期望觀察到衍射譜。雖然勞厄的想法受到索末菲和維恩 (W. Wien) 等著名物理學家的懷疑,但是在索末菲的助手弗里德里希 (W. Friedrich) 和倫琴的博士研究生克尼平 (P. Knipping) 的支持和參與下,他們終于成功地觀察到 X 射線透過硫酸銅后的衍射斑點。通過改進儀器設備數周后他們照出更為清晰的 ZnS、PbS 和 NaCl 等晶體的 X 射線衍射圖 ( 如 圖 7 所示 )。
圖7 ZnS 晶體的X 射線衍射圖
在實驗上觀測到晶體的衍射花樣之后,勞厄就面臨著理論解釋的問題。實際所要求的就是將物理光學 中的一維光柵理論公式,推廣到三維。
這里先討論一維光柵,如圖 8 所示,當光入射到光柵常數為 a 的一維光柵時,光將發生衍射。形成衍射極大 ( 即亮條紋 ) 的條件是光程差為波長的整數 倍。由圖 8 可知相鄰衍射光線的光程差為距離為 BCAD,由此可得一維光柵衍射的理論公式:
滿足 (1) 的光將形成亮條紋,這些衍射光在整個空間形成如圖 8 所示的圓錐。
如圖9 所示,此時形成亮斑的條件是兩個滿足公式(2) 的那些圓錐面的交點( 如圖9(b) 所示)。
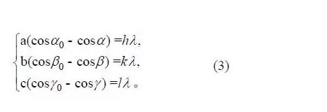
再類推可得到三維光柵,此時形成明亮條紋的條件:
如圖10 所示,此時形成亮斑的條件是三個滿足公式(3) 的那些三個方向上圓錐面的交線。(3) 式即為描述晶體X 射線衍射的勞厄方程。式中 a,b,c 分別為三
維光柵在三個方向的間距,α、β、γ 分別為X 射線在三個方向的出射角。
勞厄發現 X 射線衍射有兩個重大意義。一方面 是它表明了 X 射線是一種波,對 X 射線的認識邁出 了關鍵的一步,這樣科學家就可以確定它們的波長, 并制作儀器對不同的波長加以分辨 ( 與可見光一樣, X 射線具有不同的波長 );另一方面是它第一次對晶體的空間點陣假說作出了實驗驗證,使晶體物理學發生了質的飛躍。一旦獲得了波長一定的光束,研究人員就能利用X射線來研究晶體光柵的空間排列, X 射線晶體學成為在原子水平研究三維物質結構的重 要條件。此后,X 射線學在理論和實驗方法上飛速發展,形成了一門內容極其豐富、應用極其廣泛的綜合學科。由于勞厄出色的發現,1914 年他獲得了諾 貝爾物理學獎。
晶體衍射的研究
勞厄的研究結論引起了英國布拉格父子的關注, 當時老布拉格,即亨利 · 布拉格已是利茲大學的物理學教授,而小布拉格,即勞倫斯 · 布拉格 (W. L. Bragg)( 見圖 11) 剛從劍橋大學畢業,在卡文迪什實驗室工作。這父子倆都堅持 X 射線微粒觀點,并試圖用 X 射線的微粒理論來解釋勞厄的照片,但他們的嘗試未能取得成功。小布拉格經過反復研究,以更簡潔的方式解釋了 X 射線晶體衍射的形成,并提出著名的布喇格衍射公式:
事實上布拉格公式可以利用圖 12 所示的光程差滿足波長的整數倍即可得到。
1912 年 11 月,小布拉格以《晶體對短波長電磁波衍射》為題向劍橋哲學學會報告了上述研究結果。 老布拉格于 1913 年 1 月設計出第一臺 X 射線光譜儀, 并利用這臺儀器,發現了特征 X 射線。
小布拉格在用特征 X 射線分析了一些堿金屬鹵化物的晶體結構之后,與其父親合作,成功地測定出了金剛石的晶體結構,并用勞厄法進行了驗證。金 剛石結構的測定完美地說明了化學家長期以來認為的碳原子的四個鍵按正四面體形狀排列的結論 ( 如圖 13 所示 )。這對尚處于新生階段的 X 射線晶體學來說 非常重要,充分顯示了 X 射線衍射用于分析晶體結構的有效性,使其開始為物理學家和化學家普遍接受。 布拉格父子因在用 X 射線研究晶體結構方面所做出的杰出貢獻分享了 1915 年的諾貝爾物理學獎。值得一 提地是,盡管老布拉格最初認定 X 射線是穿透性很強的中性微粒,反對波動的觀點,但隨著科學的發展, 布拉格不僅接受波動觀點,而且也做出了杰出的貢獻。
1916 年,美籍荷蘭物理學家、化學家德拜 (P. Debye,1884~1966) 和瑞士物理學家謝樂 (P. Scherrer, 1890~1969) 發展了用 X 射線研究晶體結構的方法,采用粉末狀的晶體代替較難制備的大塊晶體。
徳拜粉末法可用于鑒定樣品的成分,測定晶體結構。德拜因利用偶極矩、X 射線和電子衍射法測定分子結構的成就而獲 1936 年諾貝爾化學獎。
從物理原理上講,上述三種 X 射線衍射的基本原 理都可以用布拉格衍射公式 (4) 來描述。隨著科技的發展,目前利用布拉格衍射原理制作的由計算機控制 的 X 射線衍射儀已成為新材料研究中不可或缺的重要儀器。
現代的 X 射線衍射儀的原理如圖 14 所示,從 X 射線管射出的 X 射線經準直后照射在樣品上;在測量 過程中樣品在計算機的控制下勻速轉動,其入射角以 一定的角速度變化,測量衍射光強的探測器則以 2 倍于入射角的角速度變化;由此來記錄衍射光強隨入射角的變化,從而測出各個晶面間的面間距。圖 15 給 出了比較典型的粉末晶體 Si 的 X 衍射圖,每一個衍射峰對應一簇晶面的面間距,通過計算機與已知晶體的衍射資料庫進行比對即可確定樣品是什么晶體,或者發現新的晶體。
X 射線發現的意義及影響
X 射線的發現揭開了現代物理學革命的序幕,推動了物理學自身的發展,造就了許多諾貝爾獎獲得者。 包括 1912 年勞厄發現 X 射線晶體時發生衍射現象,從 而獲得 1914 年諾貝爾物理學獎;布拉格父子進一步發 展了勞厄的晶體衍射理論,因創立了 X 射線晶體結構 分析而獲 1915 年的諾貝爾物理學獎等。而 X 射線晶體 衍射現象和 X 射線晶體學發現對人類科學發展的影響 也甚是巨大,特別是微觀結構科學的影響。因此,本文通過回顧 X 射線的發現,以及 X 射線晶體衍射現象和 X 射線晶體學的研究,來紀念它具有特殊的重要意義。















